<!DOCTYPE html>
    <html lang="vi" xmlns="http://www.w3.org/1999/xhtml" prefix="og: http://ogp.me/ns#">
    <head>
<title>THÔNG BÁO&#x3A; ĐO ĐẠC ĐỊA CHÍNH &amp; GIẢI QUYẾT CHỒNG RANH ĐẤT CAO SU</title>
<meta name="description" content="THÔNG BÁO&#x3A; ĐO ĐẠC ĐỊA CHÍNH &amp; GIẢI QUYẾT CHỒNG RANH ĐẤT CAO SU - Savefile - Tin Tức -...">
<meta name="author" content="XÃ PHÚ TRUNG">
<meta name="copyright" content="XÃ PHÚ TRUNG [webmaster@vinades.vn]">
<meta name="generator" content="NukeViet v4.5">
<meta name="viewport" content="width=device-width, initial-scale=1">
<meta http-equiv="Content-Type" content="text/html; charset=utf-8">
<meta property="og:title" content="THÔNG BÁO&#x3A; ĐO ĐẠC ĐỊA CHÍNH &amp; GIẢI QUYẾT CHỒNG RANH ĐẤT CAO SU">
<meta property="og:type" content="website">
<meta property="og:description" content="Savefile - Tin Tức - https&#x3A;&#x002F;&#x002F;phutrung.dongnai.gov.vn&#x002F;vi&#x002F;news&#x002F;savefile&#x002F;xa-thi-tran&#x002F;thong-bao-do-dac-dia-chinh-giai-quyet-chong-ranh-dat-cao-su-389.html">
<meta property="og:site_name" content="XÃ PHÚ TRUNG">
<meta property="og:url" content="https://phutrung.dongnai.gov.vn/vi/news/savefile/xa-thi-tran/thong-bao-do-dac-dia-chinh-giai-quyet-chong-ranh-dat-cao-su-389.html">
<link rel="shortcut icon" href="https://phutrung.dongnai.gov.vn/uploads/phutrung/co-to-quoc.png">
<link rel="canonical" href="https://phutrung.dongnai.gov.vn/vi/news/savefile/xa-thi-tran/thong-bao-do-dac-dia-chinh-giai-quyet-chong-ranh-dat-cao-su-389.html">
<link rel="alternate" href="https://phutrung.dongnai.gov.vn/vi/news/rss/" title="Tin Tức" type="application/rss+xml">
<link rel="alternate" href="https://phutrung.dongnai.gov.vn/vi/news/rss/thong-tin-chi-dao-dieu-hanh/" title="Tin Tức - Thông tin chỉ đạo điều hành" type="application/rss+xml">
<link rel="alternate" href="https://phutrung.dongnai.gov.vn/vi/news/rss/hoat-dong-chinh-quyen-nha-nuoc/" title="Tin Tức - Hoạt động chính quyền nhà nước" type="application/rss+xml">
<link rel="alternate" href="https://phutrung.dongnai.gov.vn/vi/news/rss/xa-thi-tran/" title="Tin Tức - Hoạt động địa phương" type="application/rss+xml">
<link rel="alternate" href="https://phutrung.dongnai.gov.vn/vi/news/rss/xay-dung-dang-doan-the/" title="Tin Tức - Hoạt động của Đảng bộ" type="application/rss+xml">
<link rel="alternate" href="https://phutrung.dongnai.gov.vn/vi/news/rss/hoat-dong-cua-hdnd/" title="Tin Tức - Hoạt động của HĐND" type="application/rss+xml">
<link rel="alternate" href="https://phutrung.dongnai.gov.vn/vi/news/rss/hoat-dong-cua-ubnd/" title="Tin Tức - Hoạt động của UBND" type="application/rss+xml">
<link rel="alternate" href="https://phutrung.dongnai.gov.vn/vi/news/rss/hoat-dong-cua-ubmttq-va-cac-doan-the/" title="Tin Tức - Hoạt động của UBMTTQ và các đoàn thể" type="application/rss+xml">
<link rel="alternate" href="https://phutrung.dongnai.gov.vn/vi/news/rss/cai-cach-hanh-chinh/" title="Tin Tức - Cải cách hành chính" type="application/rss+xml">
<link rel="alternate" href="https://phutrung.dongnai.gov.vn/vi/news/rss/an-ninh-quoc-phong/" title="Tin Tức - An ninh - quốc phòng" type="application/rss+xml">
<link rel="alternate" href="https://phutrung.dongnai.gov.vn/vi/news/rss/nong-thon-moi-nong-nghiep/" title="Tin Tức - Lĩnh vực Đất đai - Nông nghiệp" type="application/rss+xml">
<link rel="alternate" href="https://phutrung.dongnai.gov.vn/vi/news/rss/kinh-te-moi-truong/" title="Tin Tức - Lĩnh vực Tài Nguyên - Môi trường" type="application/rss+xml">
<link rel="alternate" href="https://phutrung.dongnai.gov.vn/vi/news/rss/tra-loi-kien-nghi-cua-to-chuc-ca-nhan/" title="Tin Tức - Trả lời kiến nghị của tổ chức, cá nhân" type="application/rss+xml">
<link rel="alternate" href="https://phutrung.dongnai.gov.vn/vi/news/rss/van-hoa-xa-hoi/" title="Tin Tức - Văn hoá - Xã hội" type="application/rss+xml">
<link rel="alternate" href="https://phutrung.dongnai.gov.vn/vi/news/rss/thong-bao/" title="Tin Tức - Thông báo" type="application/rss+xml">
<link rel="alternate" href="https://phutrung.dongnai.gov.vn/vi/news/rss/thong-tin-du-lich/" title="Tin Tức - Thông tin du lịch" type="application/rss+xml">
<link rel="alternate" href="https://phutrung.dongnai.gov.vn/vi/news/rss/lich-lam-viec/" title="Tin Tức - Lịch làm việc HĐND và UBND" type="application/rss+xml">
<link rel="alternate" href="https://phutrung.dongnai.gov.vn/vi/news/rss/thong-tin-tuyen-truyen/" title="Tin Tức - Thông tin tuyên truyền" type="application/rss+xml">
<link rel="alternate" href="https://phutrung.dongnai.gov.vn/vi/news/rss/chuyen-doi-so/" title="Tin Tức - Chuyển đổi số" type="application/rss+xml">
<link rel="alternate" href="https://phutrung.dongnai.gov.vn/vi/news/rss/bo-thu-tuc-hanh-chinh/" title="Tin Tức - Bộ thủ tục hành chính" type="application/rss+xml">
<link rel="alternate" href="https://phutrung.dongnai.gov.vn/vi/news/rss/duong-day-nong-ubnd-xa-phu-trung/" title="Tin Tức - ĐƯỜNG DÂY NÓNG - UBND XÃ PHÚ TRUNG" type="application/rss+xml">
<link rel="alternate" href="https://phutrung.dongnai.gov.vn/vi/news/rss/quy-hoach-phat-trien-kt-xh/" title="Tin Tức - Quy hoạch phát triển KT-XH" type="application/rss+xml">
<link rel="alternate" href="https://phutrung.dongnai.gov.vn/vi/news/rss/chinh-sach-uu-dai-cac-du-an-moi-goi-von/" title="Tin Tức - Chính sách ưu đãi, các dự án mời gọi vốn" type="application/rss+xml">
<link rel="alternate" href="https://phutrung.dongnai.gov.vn/vi/news/rss/lich-su-xa/" title="Tin Tức - Lịch sử xã" type="application/rss+xml">
<link rel="alternate" href="https://phutrung.dongnai.gov.vn/vi/news/rss/ban-do-hanh-chinh-tinh-dong-nai/" title="Tin Tức - Bản đồ hành chính tỉnh Đồng Nai" type="application/rss+xml">
<link rel="alternate" href="https://phutrung.dongnai.gov.vn/vi/news/rss/ban-do-xa-phu-trung/" title="Tin Tức - Bản đồ xã Phú Trung" type="application/rss+xml">
<link rel="alternate" href="https://phutrung.dongnai.gov.vn/vi/news/rss/lanh-dao-dang-uy/" title="Tin Tức - Lãnh đạo Đảng ủy" type="application/rss+xml">
<link rel="alternate" href="https://phutrung.dongnai.gov.vn/vi/news/rss/lanh-dao-hdnd/" title="Tin Tức - Lãnh đạo HĐND" type="application/rss+xml">
<link rel="alternate" href="https://phutrung.dongnai.gov.vn/vi/news/rss/lanh-dao-ubnd/" title="Tin Tức - Lãnh đạo UBND" type="application/rss+xml">
<link rel="alternate" href="https://phutrung.dongnai.gov.vn/vi/news/rss/lanh-dao-ubmttq-viet-nam/" title="Tin Tức - Lãnh đạo UBMTTQ Việt Nam" type="application/rss+xml">
<link rel="alternate" href="https://phutrung.dongnai.gov.vn/vi/news/rss/to-chuc-doan-the/" title="Tin Tức - Tổ chức Đoàn thể" type="application/rss+xml">
<link rel="alternate" href="https://phutrung.dongnai.gov.vn/vi/news/rss/cac-phong-don-vi-thuoc-xa/" title="Tin Tức - Các phòng, đơn vị thuộc xã" type="application/rss+xml">
<link rel="alternate" href="https://phutrung.dongnai.gov.vn/vi/news/rss/cong-tac-tuyen-giao-va-dan-van/" title="Tin Tức - Công tác Tuyên giáo và Dân vận" type="application/rss+xml">
<link rel="alternate" href="https://phutrung.dongnai.gov.vn/vi/news/rss/cong-tac-to-chuc/" title="Tin Tức - Công tác Tổ chức" type="application/rss+xml">
<link rel="alternate" href="https://phutrung.dongnai.gov.vn/vi/news/rss/cong-tac-khoa-giao/" title="Tin Tức - Công tác Khoa giáo" type="application/rss+xml">
<link rel="alternate" href="https://phutrung.dongnai.gov.vn/vi/news/rss/cong-tac-noi-chinh/" title="Tin Tức - Công tác Nội chính" type="application/rss+xml">
<link rel="alternate" href="https://phutrung.dongnai.gov.vn/vi/news/rss/cong-tac-kiem-tra/" title="Tin Tức - Công tác Kiểm tra" type="application/rss+xml">
<link rel="alternate" href="https://phutrung.dongnai.gov.vn/vi/news/rss/cong-tac-van-phong/" title="Tin Tức - Công tác Văn phòng" type="application/rss+xml">
<link rel="alternate" href="https://phutrung.dongnai.gov.vn/vi/news/rss/cong-tac-phong-chong-tham-nhung/" title="Tin Tức - Công tác phòng chống tham nhũng" type="application/rss+xml">
<link rel="alternate" href="https://phutrung.dongnai.gov.vn/vi/news/rss/chuong-trinh-ke-hoach-phat-trien-ktxh/" title="Tin Tức - Chương trình Kế hoạch phát triển KTXH" type="application/rss+xml">
<link rel="alternate" href="https://phutrung.dongnai.gov.vn/vi/news/rss/dinh-huong-chien-luoc-quy-hoach-phat-trien-ktxh/" title="Tin Tức - Định hướng chiến lược -Quy hoạch phát triển KTXH" type="application/rss+xml">
<link rel="alternate" href="https://phutrung.dongnai.gov.vn/vi/news/rss/ke-hoach-dau-tu-cong-dai-han/" title="Tin Tức - Kế hoạch Đầu tư công dài hạn" type="application/rss+xml">
<link rel="alternate" href="https://phutrung.dongnai.gov.vn/vi/news/rss/ke-hoach-dau-tu-cong-trung-han/" title="Tin Tức - Kế hoạch Đầu tư công trung hạn" type="application/rss+xml">
<link rel="alternate" href="https://phutrung.dongnai.gov.vn/vi/news/rss/ke-hoach-tai-chinh-kinh-te-xa-hoi-dinh-ky/" title="Tin Tức - Kế hoạch Tài chính Kinh tế -Xã hội định kỳ" type="application/rss+xml">
<link rel="alternate" href="https://phutrung.dongnai.gov.vn/vi/news/rss/dau-tu-dau-thau-mua-sam/" title="Tin Tức - Đầu tư – Đấu thầu – Mua sắm" type="application/rss+xml">
<link rel="alternate" href="https://phutrung.dongnai.gov.vn/vi/news/rss/dau-tu-dau-thau-mua-sam-127/" title="Tin Tức - Công khai thông tin dự án" type="application/rss+xml">
<link rel="alternate" href="https://phutrung.dongnai.gov.vn/vi/news/rss/nghi-quyet-57-nq-tw/" title="Tin Tức - Nghị quyết 57 – NQ&#x002F;TW" type="application/rss+xml">
<link rel="alternate" href="https://phutrung.dongnai.gov.vn/vi/news/rss/thong-bao-niem-yet/" title="Tin Tức - Thông báo niêm yết" type="application/rss+xml">
<link rel="alternate" href="https://phutrung.dongnai.gov.vn/vi/news/rss/lich-lam-viec-dang-uy/" title="Tin Tức - Lịch làm việc Đảng ủy" type="application/rss+xml">
<link rel="alternate" href="https://phutrung.dongnai.gov.vn/vi/news/rss/dai-bieu-hdnd-xa-phu-trung/" title="Tin Tức - Đai biểu HĐND xã Phú Trung" type="application/rss+xml">
<link rel="alternate" href="https://phutrung.dongnai.gov.vn/vi/news/rss/cong-tac-bau-cu-dai-bieu-hdnd-xa/" title="Tin Tức - Công tác bầu cử các cấp" type="application/rss+xml">
<link rel="alternate" href="https://phutrung.dongnai.gov.vn/vi/news/rss/binh-dan-hoc-vu-so/" title="Tin Tức - Bình dân học vụ số" type="application/rss+xml">
<link rel="alternate" href="https://phutrung.dongnai.gov.vn/vi/news/rss/tin-noi-bo/" title="Tin Tức - Tin nội bộ" type="application/rss+xml">
<link rel="alternate" href="https://phutrung.dongnai.gov.vn/vi/news/rss/y-te/" title="Tin Tức - Y tế" type="application/rss+xml">
<link rel="preload" as="style" href="https://phutrung.dongnai.gov.vn/assets/css/font-awesome.min.css" type="text/css">
<link rel="preload" as="style" href="https://phutrung.dongnai.gov.vn/themes/dongnai/css/bootstrap.min.css" type="text/css">
<link rel="preload" as="style" href="https://phutrung.dongnai.gov.vn/themes/dongnai/css/style.css" type="text/css">
<link rel="preload" as="style" href="https://phutrung.dongnai.gov.vn/themes/dongnai/css/style.responsive.css" type="text/css">
<link rel="preload" as="style" href="https://phutrung.dongnai.gov.vn/themes/dongnai/css/news.css" type="text/css">
<link rel="preload" as="style" href="https://phutrung.dongnai.gov.vn/themes/dongnai/css/custom.css" type="text/css">
<link rel="preload" as="style" href="https://phutrung.dongnai.gov.vn/themes/dongnai/css/dongnai.css" type="text/css">
<link rel="preload" as="style" href="https://phutrung.dongnai.gov.vn/themes/dongnai/js/slick/slick.css" type="text/css">
<link rel="preload" as="style" href="https://phutrung.dongnai.gov.vn/themes/dongnai/js/slick/slick-theme.css" type="text/css">
<link rel="preload" as="script" href="https://phutrung.dongnai.gov.vn/assets/js/jquery/jquery.min.js" type="text/javascript">
<link rel="preload" as="script" href="https://phutrung.dongnai.gov.vn/assets/js/language/vi.js" type="text/javascript">
<link rel="preload" as="script" href="https://phutrung.dongnai.gov.vn/assets/js/DOMPurify/purify3.js" type="text/javascript">
<link rel="preload" as="script" href="https://phutrung.dongnai.gov.vn/assets/js/global.js" type="text/javascript">
<link rel="preload" as="script" href="https://phutrung.dongnai.gov.vn/assets/js/site.js" type="text/javascript">
<link rel="preload" as="script" href="https://phutrung.dongnai.gov.vn/themes/dongnai/js/news.js" type="text/javascript">
<link rel="preload" as="script" href="https://phutrung.dongnai.gov.vn/themes/dongnai/js/main.js" type="text/javascript">
<link rel="preload" as="script" href="https://phutrung.dongnai.gov.vn/themes/dongnai/js/custom.js" type="text/javascript">
<link rel="preload" as="script" href="https://phutrung.dongnai.gov.vn/themes/dongnai/js/slick/slick.js" type="text/javascript">
<link rel="preload" as="script" href="https://phutrung.dongnai.gov.vn/themes/dongnai/js/bootstrap.min.js" type="text/javascript">
<link rel="stylesheet" href="https://phutrung.dongnai.gov.vn/assets/css/font-awesome.min.css">
<link rel="stylesheet" href="https://phutrung.dongnai.gov.vn/themes/dongnai/css/bootstrap.min.css">
<link rel="stylesheet" href="https://phutrung.dongnai.gov.vn/themes/dongnai/css/style.css">
<link rel="stylesheet" href="https://phutrung.dongnai.gov.vn/themes/dongnai/css/style.responsive.css">
<link rel="StyleSheet" href="https://phutrung.dongnai.gov.vn/themes/dongnai/css/news.css">
<link rel="stylesheet" href="https://phutrung.dongnai.gov.vn/themes/dongnai/css/custom.css">
<link rel="stylesheet" href="https://phutrung.dongnai.gov.vn/themes/dongnai/css/dongnai.css">
<link rel="stylesheet" href="https://phutrung.dongnai.gov.vn/themes/dongnai/js/slick/slick.css" />
<link rel="stylesheet" href="https://phutrung.dongnai.gov.vn/themes/dongnai/js/slick/slick-theme.css" />
<style>
          :root {
            --theme-banner-red: url('/uploads/phutrung/bghead_red.jpg');
            --theme-banner-yellow: url('/uploads/phutrung/bghead_yellow.jpg');
            --theme-banner-green: url('/uploads/phutrung/bghead_green.jpg');
          }
        </style>
<style type="text/css">
	body{background: #fff;}
</style>
    </head>
    <body data-timestamp="1762423301">
<div id="print">
	<div id="hd_print">
		<h2 class="pull-left">XÃ PHÚ TRUNG</h2>
		<p class="pull-right"><a title="XÃ PHÚ TRUNG" href="https://phutrung.dongnai.gov.vn/">https://phutrung.dongnai.gov.vn</a></p>
	</div>
	<div class="clear"></div>
	<hr />
	<div id="content">
		<h1>THÔNG BÁO&#x3A; ĐO ĐẠC ĐỊA CHÍNH &amp; GIẢI QUYẾT CHỒNG RANH ĐẤT CAO SU</h1>
		<ul class="list-inline">
			<li>Chủ nhật - 29/03/2026 08:42</li>
			<li class="hidden-print txtrequired"><em class="fa fa-print">&nbsp;</em><a title="In ra" href="javascript:;" onclick="window.print()">In ra</a></li>
			<li class="hidden-print txtrequired"><em class="fa fa-power-off">&nbsp;</em><a title="Đóng cửa sổ này" href="javascript:;" onclick="window.close()">Đóng cửa sổ này</a></li>
		</ul>
		<div class="clear"></div>
		<div id="hometext">
			Kính gửi bà con nhân dân xã Phú Trung, đặc biệt là các hộ dân có đất giáp ranh với nông trường cao su. Hiện nay, Sở Nông nghiệp và Môi trường đang triển khai kế hoạch đo đạc bản đồ địa chính, đăng ký đất đai và xây dựng cơ sở dữ liệu đối với diện tích của các Công ty cao su trên địa bàn xã. Đây là cơ hội quan trọng để giải quyết dứt điểm các ý kiến của cử tri về việc chồng lấn ranh giới, giúp bà con thuận lợi hơn trong việc cấp mới, cấp đổi Giấy chứng nhận (sổ hồng). 
		</div>
		<div id="bodytext" class="clearfix">
			<span style="font-size:12pt"><span style="line-height:115%"><span style="font-family:Aptos,sans-serif"><span style="font-size:14.0pt"><span style="line-height:115%"><span style="font-family:&#039;Times New Roman&#039;,serif">&nbsp;</span></span></span></span></span></span><br />
<strong><span style="font-size:12pt"><span style="line-height:115%"><span style="font-family:Aptos,sans-serif"><span style="font-size:14.0pt"><span style="line-height:115%"><span style="font-family:&#039;Times New Roman&#039;,serif">&nbsp;Nội dung bà con cần lưu ý:</span></span></span></span></span></span></strong><br />
<span style="font-size:12pt"><span style="line-height:115%"><span style="font-family:Aptos,sans-serif"><span style="font-size:14.0pt"><span style="line-height:115%"><span style="font-family:&#039;Times New Roman&#039;,serif">• Mục đích: Xác định chính xác hiện trạng sử dụng đất giữa hộ dân và các Công ty cao su để đảm bảo quyền lợi và nghĩa vụ hợp pháp của người dân.&nbsp; </span></span></span></span></span></span><br />
<span style="font-size:12pt"><span style="line-height:115%"><span style="font-family:Aptos,sans-serif"><span style="font-size:14.0pt"><span style="line-height:115%"><span style="font-family:&#039;Times New Roman&#039;,serif">• Trách nhiệm của hộ dân: Phối hợp cùng nhà thầu thi công và phía Công ty cao su để xác định ranh giới thực địa.&nbsp; </span></span></span></span></span></span><br />
<span style="font-size:12pt"><span style="line-height:115%"><span style="font-family:Aptos,sans-serif"><span style="font-size:14.0pt"><span style="line-height:115%"><span style="font-family:&#039;Times New Roman&#039;,serif">• Ký xác nhận: Bà con cần có mặt để cùng lập biên bản xác định ranh giới, mốc giới thửa đất. Đây là cơ sở pháp lý để bảo vệ quyền lợi đất đai của gia đình, tránh tranh chấp về sau.&nbsp; </span></span></span></span></span></span><br />
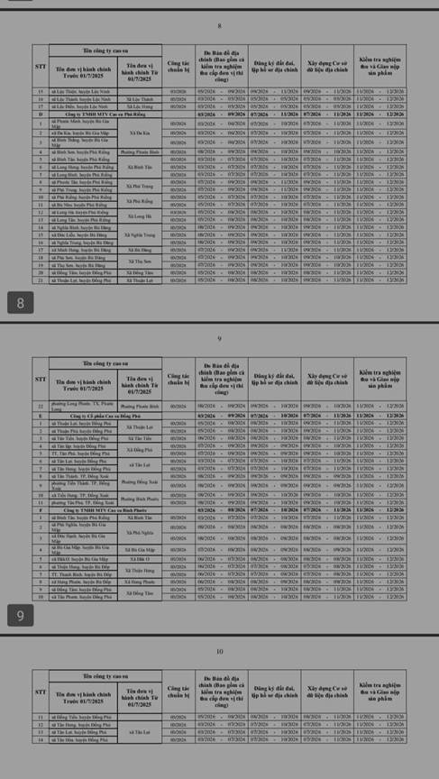
<span style="font-size:12pt"><span style="line-height:115%"><span style="font-family:Aptos,sans-serif"><span style="font-size:14.0pt"><span style="line-height:115%"><span style="font-family:&#039;Times New Roman&#039;,serif">• Thời gian thực hiện: Công tác chuẩn bị đã bắt đầu từ tháng 03/2026 và dự kiến hoàn thành kiểm tra, giao nộp sản phẩm vào cuối năm 2026.&nbsp; </span></span></span></span></span></span><br />
<span style="font-size:12pt"><span style="line-height:115%"><span style="font-family:Aptos,sans-serif"><span style="font-size:14.0pt"><span style="line-height:115%"><span style="font-family:&#039;Times New Roman&#039;,serif">&nbsp;Đề nghị bà con:</span></span></span></span></span></span><br />
<span style="font-size:12pt"><span style="line-height:115%"><span style="font-family:Aptos,sans-serif"><span style="font-size:14.0pt"><span style="line-height:115%"><span style="font-family:&#039;Times New Roman&#039;,serif">• Chủ động sắp xếp thời gian khi có thông báo của cán bộ thôn/xã về việc đo đạc tại khu vực nhà mình.&nbsp; </span></span></span></span></span></span><br />
<span style="font-size:12pt"><span style="line-height:115%"><span style="font-family:Aptos,sans-serif"><span style="font-size:14.0pt"><span style="line-height:115%"><span style="font-family:&#039;Times New Roman&#039;,serif">• Cung cấp thông tin về các khu đất đang có vướng mắc hoặc tranh chấp cho đoàn đo đạc để xử lý kịp thời ngay từ đầu.&nbsp; </span></span></span></span></span></span><br />
<span style="font-size:12pt"><span style="line-height:115%"><span style="font-family:Aptos,sans-serif"><span style="font-size:14.0pt"><span style="line-height:115%"><span style="font-family:&#039;Times New Roman&#039;,serif">Vì quyền lợi trực tiếp về mảnh đất của mình, rất mong bà con nhiệt tình phối hợp!</span></span></span></span></span></span><br />
<img alt="" height="865" src="https://phutrung.dongnai.gov.vn/uploads/phutrung/news/2026_03/image-20260329084223-1.png" width="602" /><br />
<img alt="" height="864" src="https://phutrung.dongnai.gov.vn/uploads/phutrung/news/2026_03/image-20260329084223-2.png" width="341" /><br />
<img alt="" height="863" src="https://phutrung.dongnai.gov.vn/uploads/phutrung/news/2026_03/image-20260329084223-3.png" width="620" /><br />
<img alt="" height="864" src="https://phutrung.dongnai.gov.vn/uploads/phutrung/news/2026_03/image-20260329084223-4.png" width="609" /><br />
<img alt="" height="864" src="https://phutrung.dongnai.gov.vn/uploads/phutrung/news/2026_03/image-20260329084223-5.png" width="487" /><br />
<img alt="" height="864" src="https://phutrung.dongnai.gov.vn/uploads/phutrung/news/2026_03/image-20260329084223-6.png" width="564" /><br />
<img alt="" height="1350" src="https://phutrung.dongnai.gov.vn/uploads/phutrung/news/2026_03/image_14.png" width="905" />
		</div>
				<div id="author">
						<p>
				<strong>Tác giả:</strong>
				<a href="https://phutrung.dongnai.gov.vn/vi/news/author/xa-Phu-Trung/">xã Phú Trung</a>, NGUỒN &#x3A; PHẠM THỊ PHÔNG
			</p>
		</div>
	</div>
	<div id="footer" class="clearfix">
		<div id="url">
			<strong>URL của bản tin này: </strong><a href="https://phutrung.dongnai.gov.vn/vi/news/savefile/xa-thi-tran/thong-bao-do-dac-dia-chinh-giai-quyet-chong-ranh-dat-cao-su-389.html" title="THÔNG BÁO&#x3A; ĐO ĐẠC ĐỊA CHÍNH &amp; GIẢI QUYẾT CHỒNG RANH ĐẤT CAO SU">https://phutrung.dongnai.gov.vn/vi/news/savefile/xa-thi-tran/thong-bao-do-dac-dia-chinh-giai-quyet-chong-ranh-dat-cao-su-389.html</a>

		</div>
		<div class="clear"></div>
		<div class="copyright">
			&copy; XÃ PHÚ TRUNG
		</div>
		<div id="contact">
			<a href="mailto:webmaster@vinades.vn">webmaster@vinades.vn</a>
		</div>
	</div>
</div>
        <div id="timeoutsess" class="chromeframe">
            Bạn đã không sử dụng Site, <a onclick="timeoutsesscancel();" href="https://phutrung.dongnai.gov.vn/#">Bấm vào đây để duy trì trạng thái đăng nhập</a>. Thời gian chờ: <span id="secField"> 60 </span> giây
        </div>
        <div id="openidResult" class="nv-alert" style="display:none"></div>
        <div id="openidBt" data-result="" data-redirect=""></div>
<script src="https://phutrung.dongnai.gov.vn/assets/js/jquery/jquery.min.js"></script>
<script>var nv_base_siteurl="/",nv_lang_data="vi",nv_lang_interface="vi",nv_name_variable="nv",nv_fc_variable="op",nv_lang_variable="language",nv_module_name="news",nv_func_name="savefile",nv_is_user=0, nv_my_ofs=7,nv_my_abbr="+07",nv_cookie_prefix="nv4c_Cgoz3",nv_check_pass_mstime=1738000,nv_area_admin=0,nv_safemode=0,theme_responsive=1,nv_recaptcha_ver=2,nv_recaptcha_sitekey="6LfeOC0pAAAAAJwjpRdjkULWldWUIrnKJUng5KHz",nv_recaptcha_type="image",XSSsanitize=1;</script>
<script src="https://phutrung.dongnai.gov.vn/assets/js/language/vi.js"></script>
<script src="https://phutrung.dongnai.gov.vn/assets/js/DOMPurify/purify3.js"></script>
<script src="https://phutrung.dongnai.gov.vn/assets/js/global.js"></script>
<script src="https://phutrung.dongnai.gov.vn/assets/js/site.js"></script>
<script src="https://phutrung.dongnai.gov.vn/themes/dongnai/js/news.js"></script>
<script src="https://phutrung.dongnai.gov.vn/themes/dongnai/js/main.js"></script>
<script src="https://phutrung.dongnai.gov.vn/themes/dongnai/js/custom.js"></script>
<script src="https://phutrung.dongnai.gov.vn/themes/dongnai/js/slick/slick.js"></script>
<script type="application/ld+json">
        {
            "@context": "https://schema.org",
            "@type": "Organization",
            "url": "https://phutrung.dongnai.gov.vn",
            "logo": "https://phutrung.dongnai.gov.vn/uploads/phutrung/logo_1.png"
        }
        </script>
<script type="text/javascript">
            var nv_site_theme = 'dongnai';
        </script>
<script src="https://phutrung.dongnai.gov.vn/themes/dongnai/js/bootstrap.min.js"></script>
</body>
</html>