THÔNG BÁO: ĐO ĐẠC ĐỊA CHÍNH & GIẢI QUYẾT CHỒNG RANH ĐẤT CAO SU
xã Phú Trung, NGUỒN : PHẠM THỊ PHÔNG
2026-03-29T08:51:08+07:00
2026-03-29T08:51:08+07:00
https://phutrung.dongnai.gov.vn/vi/news/xa-thi-tran/thong-bao-do-dac-dia-chinh-giai-quyet-chong-ranh-dat-cao-su-389.html
/themes/dongnai/images/no_image.gif
XÃ PHÚ TRUNG
https://phutrung.dongnai.gov.vn/uploads/phutrung/logo_1.png
Chủ nhật - 29/03/2026 08:42
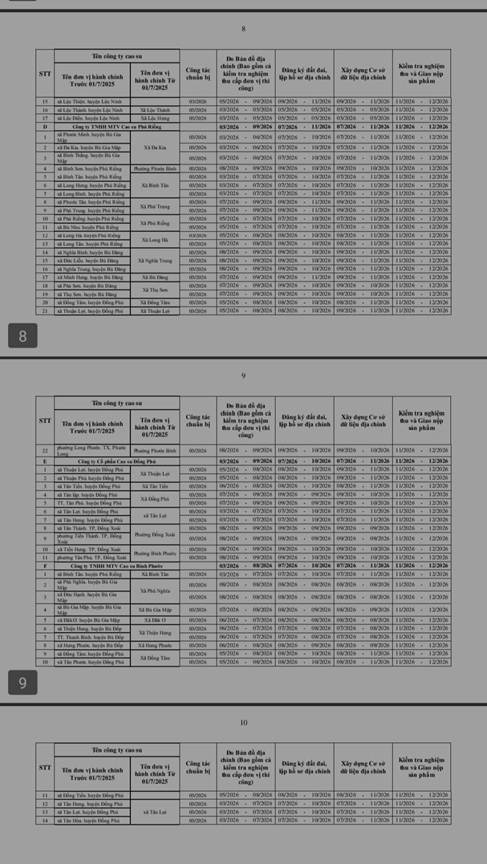
Kính gửi bà con nhân dân xã Phú Trung, đặc biệt là các hộ dân có đất giáp ranh với nông trường cao su. Hiện nay, Sở Nông nghiệp và Môi trường đang triển khai kế hoạch đo đạc bản đồ địa chính, đăng ký đất đai và xây dựng cơ sở dữ liệu đối với diện tích của các Công ty cao su trên địa bàn xã. Đây là cơ hội quan trọng để giải quyết dứt điểm các ý kiến của cử tri về việc chồng lấn ranh giới, giúp bà con thuận lợi hơn trong việc cấp mới, cấp đổi Giấy chứng nhận (sổ hồng).
Nội dung bà con cần lưu ý:
• Mục đích: Xác định chính xác hiện trạng sử dụng đất giữa hộ dân và các Công ty cao su để đảm bảo quyền lợi và nghĩa vụ hợp pháp của người dân.
• Trách nhiệm của hộ dân: Phối hợp cùng nhà thầu thi công và phía Công ty cao su để xác định ranh giới thực địa.
• Ký xác nhận: Bà con cần có mặt để cùng lập biên bản xác định ranh giới, mốc giới thửa đất. Đây là cơ sở pháp lý để bảo vệ quyền lợi đất đai của gia đình, tránh tranh chấp về sau.
• Thời gian thực hiện: Công tác chuẩn bị đã bắt đầu từ tháng 03/2026 và dự kiến hoàn thành kiểm tra, giao nộp sản phẩm vào cuối năm 2026.
Đề nghị bà con:
• Chủ động sắp xếp thời gian khi có thông báo của cán bộ thôn/xã về việc đo đạc tại khu vực nhà mình.
• Cung cấp thông tin về các khu đất đang có vướng mắc hoặc tranh chấp cho đoàn đo đạc để xử lý kịp thời ngay từ đầu.
Vì quyền lợi trực tiếp về mảnh đất của mình, rất mong bà con nhiệt tình phối hợp!